Notícias
Relação de Contas da UFPB aprovadas pelo TCU
publicado:
28/06/2019 17h20,
última modificação:
04/07/2019 18h43
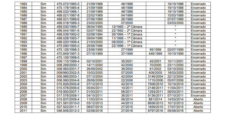
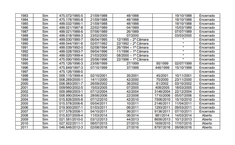
Referente a solicitação de informações sobre prestação de contas ao TCU realizada pelo e-sic que estão distribuídas através dos processos nº 23074.002919/2017-26 e nº 23074.085365/2018-75
